Performance
Aug 14, 2020
Graph Database Performance Comparison: Neo4j vs NebulaGraph vs JanusGraph
Tencent Cloud Team
Who Did the Graph Database Comparison
This article describes how the Tencent Cloud team compares NebulaGraph with two other popular graph databases on the market from several perspectives.
By their nature of dealing with interconnections, graph databases are perfect for fraud detection and building knowledge graphs in the security field. To better serve the Tencent Cloud business scenarios, the Tencent Cloud Security team has to select a highly performant graph database which fits the business development well, which is how this performance comparison comes into play.
Whom to Compare With
Neo4j
Neo4j is the most widely adopted graph database in the industrial world. It has a Community edition and an Enterprise edition. For comparison in this article, the team has chosen the Community edition.
HugeGraph (A fork of JanusGraph)
HugeGraph is a distributed graph database developed by Baidu. It is forked from JanusGraph. HugeGraph is developed to address the needs of anti-fraud, threat intelligence collection, and underground economy attack with graph storage and analysis capabilities. It has pretty good read and write performance.
NebulaGraph
NebulaGraph is an open source distributed graph database developed by vesoft Inc. It features the capability of dealing with super large datasets with hundreds of billions of vertices and trillions of edges.
Hardware Environments
Item | Specs |
|---|---|
CPU | Intel Xeon(R) Gold 6133 CPU @ 2.5GHz X86_64 |
# of Physical CPUs | 2 |
# of Physical Cores | 20 |
# of Logical CPUs | 80 |
Memory | 260 GB |
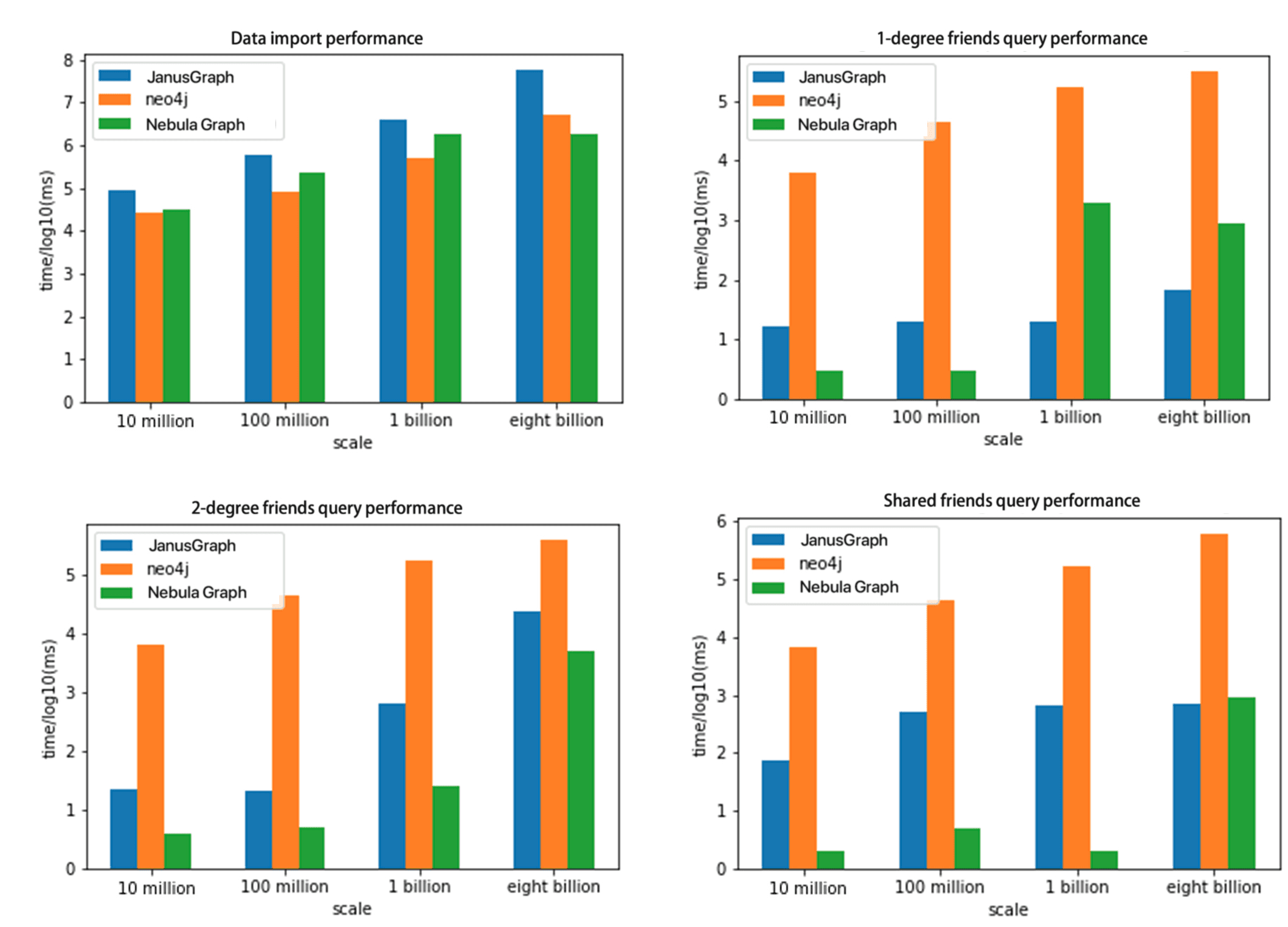
Graph Database Performance Comparison Test Results
The Tencent Cloud Security team has used graph data at different orders of magnitudes for testing purpose. The test has been performed against various metrics, including data import efficiency, one-hop query, two-hop query, and shared friends query.
The results are as below:
Graph Data Size | Platform | Data Import | One-Hop Query | Two-Hop Query | Shared Friends Query |
|---|---|---|---|---|---|
10 Million Edges | Neo4j | 26s | 6.618s | 6.644s | 6.661s |
HugeGraph | 89s | 16ms | 22ms | 72ms | |
NebulaGraph | 32.63s | 1.482ms | 3.095ms | 0.994ms | |
100 Million Edges | Neo4j | 1min21s | 42.921s | 43.332s | 44.072s |
HugeGraph | 10min | 19ms | 20ms | 5s | |
NebulaGraph | 3min52s | 1.971ms | 4.34ms | 4.147ms | |
1 Billion Edges | Neo4j | 8min34s | 165.397s | 176.272s | 168.256s |
HugeGraph | 65min | 19ms | 651ms | 3.8s | |
NebulaGraph | 29min35s | 2.035ms | 22.48ms | 1.761ms | |
8 Billion Edges | Neo4j | 1h23min | 314.34s | 393.18s | 608.27s |
HugeGraph | 16h | 68ms | 24s | 541ms | |
NebulaGraph | ~30min | Less than 1s | Less than 5s | Less than 1s |
Seen from the above table, in terms of data import, NebulaGraph is a bit slower than Neo4j when the data size is small. However, when the data size is large, NebulaGraph is much faster than the other two. For the three graph queries, NebulaGraph shows clearly better performance compared to Neo4j and HugeGraph.
Here is a chart overview of the comparison:

Graph Query Language Comparison
Neo4j Cypher
One-Hop Friends Query
Two-Hop Friends Query
Shared Friends Query
NebulaGraph nGQL
One-Hop Friends Query
Two-Hop Friends Query
Shared Friends Query
How NebulaGraph Works


Go From Zero to Graph in Minutes
Spin Up Your NebulaGraph Cluster Instantly!